LLM Fundamentals - Visualizing Transformer Internals (Chinese Simplified)
大模型(Large Language Model ,LLM)技术的迭代犹如技术爆炸,半年前的先进技术如今已成基础的基础。Polo Club 做了 Transformer 模型的动态图解,对可视化地理解 Transformer 的工作原理非常友好。另外,DeepSeek-V3 的论文犹如嘉年华大放送,详细介绍了从模型到基础设施的方方面面,并且还开源了,甚至讲解了生产级的 MoE 实现。
Polo Club 可视化:https://poloclub.github.io/transformer-explainer/

本文也在我的微信公众号发表:
- Link: https://mp.weixin.qq.com/s/V_uyS-rOFVia3Mu49QhuHg
- PDF: LLM-Fundamentals-Visualizing-Transformer-Internals-CN.pdf
引用
DeepSeek-V3 的论文:
- [1] DeepSeek-V3 Technical Report: https://arxiv.org/pdf/2412.19437
- [2] DeepSeek infra: https://arxiv.org/html/2408.14158v1
- [3] DeepSeek-R1: https://arxiv.org/pdf/2501.12948
DeepSeek 开源:
- [4] 模型: https://github.com/deepseek-ai/DeepSeek-V3
- [5] 3FS: https://github.com/deepseek-ai
- [6] 更多组件: https://github.com/orgs/deepseek-ai/repositories?type=all
总体架构
从上图可以看到,Transformer 模型本质上是一打 Transformer Block(上十个或上百个)。今天的 Transformer 模型基本是 Decoder-only 的,因为更易训练,更易优化性能,以利用 Scaling Laws 。很早就有研究表明,神经网络(Neuro Network, NN)增加深度比增加宽度更有效,因为更深的神经网络类似组合函数,拟合表达能力更强,下一层可以利用上一层的中间结果。
下面讲解上图中的组件:
-
Transformer 模型入口处有一个 Embedding 层,它做了分词(Tokenization),Token Embedding,位置编码(Positional Encoding)三件事。分词基于频率识别词缀和词组,例如 “un”、“ing”、“able” 也被识别为单独的 Token 。Token Embedding 将 Token ID 映射为向量,其参数与 Transformer 模型一起训练得到。位置编码,例如 Sinusoidal Encoding ,将 Token 在句子中的相对位置编码,融合进 Token 输入。
-
中间是一打堆叠的 Transformer Block ,这个架构和几年前的卷积神经网络 (Convolutional Neural Network,CNN) 有相通之处。CNN 用于图像视觉处理。其较低层的神经网络学习局部和句法模式,而较高层学习全局语义和推理,像一座“抽象之塔”。Attention 在 Transformer Block 内部,后文详解。
-
最后是 输出层。最后一个 Transformer Block 输出的向量会被乘以一个大矩阵,up-project(见后文)到一个和词汇库一样大的向量,称作 Logits 。随后,Logits 被选择 Top-K 个值最大的 Token 。最后,用 Softmax 将 Logits 值映射成概率,从概率中抽样选择一个 Token 输出。可选地,在进入 Softmax 前,可以将 Logits 除以 Temperature 值。Temperature 越高,则概率被拉平,模型的最终输出具有更高的随机性(高温高熵)。
Embedding 在 Transformer 前已有多年的应用,它将词语转换成具有几何距离的高维向量,这样模型才能处理。而位置编码与 Transformer 一起被广为人知,它的数学即简单又精妙。输出层的 Softmax 方法是神经网络常用的。而 Transformer Block 中包含着大模型的关键,见下文。
(图片来源:https://docs.nvidia.com/deeplearning/transformer-engine/user-guide/examples/te_llama/tutorial_accelerate_hf_llama_with_te.html)

引用
- [7] 为什么现在的LLM都是Decoder only的架构: https://www.zhihu.com/question/588325646
- [8] 为什么神经网络更深比更宽有效: https://www.reddit.com/r/MachineLearning/comments/h0g83p/d_why_are_deeper_networks_better_than_wider/
- [9] 卷积神经网络 CNN: https://learnopencv.com/understanding-convolutional-neural-networks-cnn/
- [10] 位置编码详解: https://medium.com/thedeephub/positional-encoding-explained-a-deep-dive-into-transformer-pe-65cfe8cfe10b
Transformer Block
Transformer 模型的核心是 Transformer Block ,其中具体有什么呢?
-
首先是 Attention 模块,Transformer 的魔力来源于此,后文章节将详述。剩下的部分是神经网络,以及一些技巧。
-
其次是 前馈神经网络(Feed-forward network,FFN)。前馈神经网络只是最基础的神经网络的夸张名字。网络结构简单直接:输入层 -> 隐藏层 -> 输出层,隐藏层可以有多层。被称为“前馈”是因为数据只能向前流动。FFN 也常常被称作:多层感知机(Multilayer Perceptron, MLP)、全连接神经网络(Fully Connected Network,FCN)。
-
RMSNorm(Root Mean Square Normalization),直译为用均方根来做标准化。神经网络各层间常作标准化(Normalization),以规范激活的取值范围,避免梯度爆炸或消失。RMSNorm 逐渐取代 LayerNorm 成为大模型的主流。RMSNorm 参数更少,更易训练,并且能够保留向量的方向(而不是像 LayerNorm 一样减去平均值)。
-
下一个关键是 残差连接(Residual Connection),出自 ResNet 。在深度神经网络中增加一个跨层的连接,可以缓解“深”带来危害,避免信息消失、错误积累,帮助梯度在深层次中传递。
(图片出自 DeepSeek-V3 论文。)

FFN 是神经网络的基础,早已有数十年的应用。RMSNorm 也很常见,神经网络各层见总是需要标准化,Scaling、Normalization、Standardization 是处理特征的标准方法。残差连接简单有效,在几年前的 ResNet 推出后被广泛采用。而 Attention 才是真正的原创,Attention is all you need 。
引用
- [11] FFN: https://learnopencv.com/understanding-feedforward-neural-networks/
- [12] Normalization: https://2020machinelearning.medium.com/deep-dive-into-deep-learning-layers-rmsnorm-and-batch-normalization-b2423552be9f
- [13] ResNet: https://en.wikipedia.org/wiki/Residual_neural_network
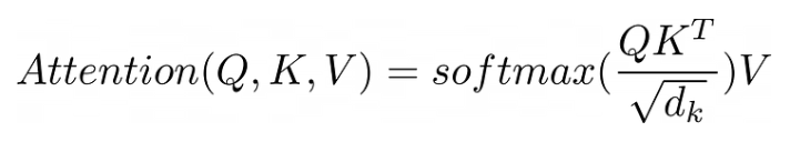
Attention
Attention 是 Transformer 的关键。下图是注意力(Attention)的公式。

原公式的信息密度很高,下面用代码把它展开成更普通的形式,然后逐条讲解每个组件。
// InputMatrix 的每一行是一个输入 Token 的 embedding 向量
// 行数是 Token 的总数
Q = InputMatrix * WeightMatrix_Q
K = InputMatrix * WeightMatrix_K
V = InputMatrix * WeightMatrix_V
// Attention 的公式
Attention = softmax((InputMatrix * WeightMatrix_Q
* WeightMatrix_K^T * InputMatrix^T)
/ sqrt(d_k))
* (InputMatrix * WeightMatrix_V)
下面逐项讲解公式中的组件:
-
输入矩阵(InputMatrix):Transformer 以 Token 作为输入,每个 Token 表示为一个向量(Embedding)。一次文本输入可达数十至百万 Token ,Token 向量有数百至千维。Token 向量以行表示,一行行叠起来组成输入矩阵。(有的文章中,Token 向量是以列表示的,你会看到 Attention 公式变成 Q^T * K ,Q = WeightMatrix_Q * InputMatrix ,不影响结果。)
-
Q = InputMatrix * WeightMatrix_Q:Q 缩写 Query。在计算 Attention 前,输入(InputMatrix)被事先乘以一个权重 WeightMatrix_Q ,得到 Q 。用权重处理输入是常用手法,K、V 也由此得到。K 缩写 Key,V 缩写 Value。
-
QK^T:方形矩阵,维度是 Token 的总数(非常巨大),矩阵的元素是浮点数值(不是向量)。展开后其形式是 InputMatrix * M * InputMatrix^T 。矩阵 (i,j) 位置是 Token i 和 Token j 的点积(加权重)。形象的含义是文本输入(一串 Token)自己看向自己(相乘)。这是 “Self-attention” 的由来,“自注意力”。
-
Sqrt(d_k):d_k 是 Token 向量的维数。Sqrt(d_k) 常被称作 “Scaling factor”。假设 Q 和 K 中的元素符合正态分布 N(0,1),QK^T 会将方差增加到 d_k 。为了使结果的方差回到 1 ,需要除以 Scaling factor —— sqrt(d_k) 。
-
Softmax:它是常用于概率的标准化(Normalization)公式,按行作用于输入矩阵。经过 softmax ,一行中的元素之和变为 1,这一行变得像一组概率。QK^T 经过 softmax 处理,变成了 Token i 看向 Token j 的概率(Self-attention)。Softmax 公式用 e 求指数,因为概率与指数有天然联系,可以看指数分布下的 MTBF 。
-
*V:经过上面,softmax(QK^T/sqrt(d_k)) 得到了 Self-attention 的概率。概率还需要乘以输入的值,才能得到同一量纲的输出。V 就是输入的值(加权重),所以叫 Value 。
总结起来,Attention 可看作给 Token 输入(InputMatrix)加了权,权重是 Self-attention 。注意 Q、K、V 的权重是右乘,加权作用于单个 Token 向量内。而 Self-attention 的权重是左乘,加权作用于多个 Token 间,使 Token 混合。
此外,Attention 还有一些额外要点:
-
多头(Multi-head):Transformer Block 中的 Attention 层是 Multi-head Attention 。即这层中同时在跑多个 Attention 模型,每个被称为一个“头”,各自拥有独立的参数,总头数有十几到几十。“多头”的术语可能源自图像处理(如 CNN),处理 RGB 像素至少需要三个通道三个头。
-
Masking(掩码):如果 Transformer 支持 1M Token 的上下文,那么 Attention 理论上在处理 1M * 1M 维度的矩阵。但实际上,见 KV Cache 一节,Attention 的计算实现是一个 Token 一个 Token 进行的。如果用户输入是 1000 个 Token,那么在计算到第 900 个 Token 时(Prefill),后面的 100 个 Token 需要填零。这是 Masking 的第一重含义。用户输入加输出大概填不满 1M 长度的上下文,那么这些填不满的部分也需要填零。这是 Masking 的第二重含义。零在 softmax 计算时,并不能转换成零概率(e^0=1)。为了概率零,需要将输入从零改成负无穷。这是 Masking 的第三重含义。
引用
- [14] 深入理解 Attention 机制 P2: https://medium.com/@funcry/in-depth-understanding-of-attention-mechanism-part-ii-scaled-dot-product-attention-and-its-7743804e610e
Attention 的几何形象
Attention 其实有非常生动且符合直觉的几何形象。在有了上面的基础之后,下面更深入地解释 Attention 在做什么:
-
Embedding:这是 Attention 的输入。Embedding 将 Token 转换为向量,开始进行 Attention 计算。这些向量是有几何含义的。两个向量的夹角小、点积(Dot product)大,表示对应的 Token 的含义接近。向量相加,能够混合含义生成新的 Token,如 king + woman = queen 。
-
Q = InputMatrix * WeightMatrix_Q:Embedding 的 Token 向量没有直接参与 Attention 计算,而是先乘以 Q 的权重矩阵。把 WeightMatrix_Q 的每一列想象成另一组 Embedding 向量,它们是尺子。其与 Token 向量相乘,是在测量 Token 与尺子有多相近。输出 Q ,则是以这组尺子为基准坐标,重建出来的 Token 。WeightMatrix_K 同理。
-
位置编码:这里以 RoPE 举例,简化来讲,它将 Token 向量旋转了一个角度。Token 在句子中的位置越靠后,旋转角度越大。两个 Token 的距离越远,旋转角度之差越大。在句子中相隔同样距离的两个 Token,无论位置,旋转角度之差总是相同的。角度差越小,点积越大。这样,位置编码使相邻的 Token 得到更高的 Attention 分数。
-
QK^T:这是把 Token 两两互相求点积,点积就是 Attention 分数(之后通过 sqrt(d) 和 softmax 做标准化)。那么,两个 Token 向量的夹角越近,含义越近,在句子中的位置越近,就会拥有更大的 Attention 分数。
-
*V:Attention 计算最后将 Attention 分数乘以 V ,这是在将 V 各行所代表的 Token 向量进行混合。如果这一行的 Token 对另一 Token 有更高的 Attention 分数,那么后者混合时的权重更高。Attention 最终的输出中,原 Token 向量变成了——自己 + 它所“关注”的句子上下文。
(图中忽略了 sqrt(d)、softmax 等用于 Normalization 的部分。)

有了几何解释,可以发现,Attention 分数本质是在计算 Token 向量间的两两相似性。如果 没有 位置编码,那么 Attention 将变成对 Token 是 顺序无关的(Permutation Invariant)。因此,位置编码才必须要被引入。

KV Cache
Attention 的另一巨大优势在于计算。如果 Transformer 支持 1M Token 的上下文,那么 Attention 理论上在处理 1M * 1M 维度的矩阵相乘。但实际上,Attention 可以实现成一个 Token 一个 Token 增量、递进地计算。下一个 Token 利用上一个 Token 的计算结果,即 KV Cache 。
下图链接中,作者制作了可视化的动态图,非常有助于理解 KV Cache 的计算过程。可以看到:
-
计算 Token 2 时,需要用到 Value Token 1~2,Key Token 1~2,Query Token 2 。
-
计算 Token 3 时,需要用到 Value Token 1~3,Key Token 1~3,Query Token 3 。Value Token 1~2 和 Key Token 1~2 可复用 Token 2 的计算。
-
计算 Token 4 时,需要用到 Value Token 1~4,Key Token 1~4,Query Token 4 。Value Token 1~3 和 Key Token 1~3 可复用 Token 3 的计算。
(KV Cache 动画:https://medium.com/@joaolages/kv-caching-explained-276520203249 )

计算下一个 Token 时,总是需要全量的 Key Token 和 Value Token,它们可以 递进地复用 上一轮 Token 的计算结果,因而适合存入 Cache ,这是 KV Cache 的由来。而 Query 仅需当前 Token 的,不需要全量,因而没有 Q Cache 。
- 可以看到,用户输入的 上下文越长,Token 越多,所需的 KV Cache 成比例地越大,成本越高。这解释了为什么 ChatGPT 或同类产品在 UI 设计上,倾向于引导用户开始全新的对话。
注意,KV Cache 依赖于之前计算过的 Token 。如果上下文中间的 Token 换了一个,后面的 KV Cache 就不能复用了。这是因为 Transformer 有很多中间层,中间层的 Transformer Block 也有自己的 Attention 和 KV Cache 。中间层的 Token 来自上一层的 Attention 。Attention 的概率加权是跨 Token 的,历史 Token 的值会造成当前 Token 的值的不同。
-
因此,KV Cache 常作为 Prefix Cache 实现。Prefix(之前的对话历史)一致,KV Cache 才可复用。
-
在 Agent 设计中,System Prompt 总是放在对话开头,内容总是一样。它们的 KV Cache 可以跨对话、跨用户地被复用。
由于 KV Cache ,在使用 Transformer 进行推理(而非训练)时,常常将其分为 Prefll 阶段 和 Decode 阶段。Prefill 阶段将用户输入的文本输入 Transformer,旨在生成 KV Cache ,因而被称作“预填充”(Prefill)。Decode 阶段发生在 Prefill 完成后,Transformer 开始根据用户输入的文本预测后面的文字,产生输出。
- Prefill 和 Decode 阶段有不用的计算特性。Prefill 阶段,用户输入已知,系统设计旨在最大化并行,瓶颈常在于 GPU 计算能力。而 Decode 阶段只能线性地一个一个 Token 地预测,但 KV Cache 需要全部缓存,系统的瓶颈常在于 内存(显存)。
引用
- [15] Mooncake / Kimi 的 Prefill / Decode 分离设计:https://arxiv.org/pdf/2407.00079
- [16] Cursor 关于 Prompt processing(Prefill阶段)和 Generation(Decode阶段)的成本计算 : https://cursor.com/blog/llama-inference#a-primer-in-transformer-math
Multi-Head Latent Attention (MLA)
下面介绍一下 DeepSeek-V3 论文中的 Multi-Head Latent Attention(MLA)。MLA 的“魔法”是通过 down-projection 压缩来减少 KV Cache 占用,从而提升推理性能。而测试表明这种压缩对推理表现的影响不大。
下图公式中,
-
蓝字方框中的向量被 KV Cache 缓存。
-
h_t 表示 Token 向量(embedding),它是 Attention 的输入。
-
W^D* 矩阵表示 down-projection 矩阵,W^U* 矩阵表示 up-projection 矩阵。
-
k、q、v 分别指 Attention 中 K、Q、V 的向量。
-
k_t,i 中,t 表示第 t 个 Token,i 表示第 i 个头(Multi-head)。
-
c* 是 MLA 的引入的 latent 向量。即经过压缩的、隐藏在中间步骤的向量。
-
*R 表示 RoPE 编码,用于编码 Token 在句子中的位置信息。
(图片出自 DeepSeek-V3 论文。)

下面逐条讲解 MLA 的各组件:
-
先看 图中右半边,不同于普通 Attention 直接用 h_t 计算 K、V,MLA 首先将 h_t 给 down-project 到 c_t^KV 。c_t^KV 被缓存,而不是分别缓存 K、V ,也不用为每个头缓存一份。这样减少了 KV Cache 的使用。随后,c_t^KV 被 up-project 还原出 Attention 计算所需的 K、V ,并且多头。
-
再看 图中左半边,Q 的处理类似,也是先将 h_t 给 down-project 到 c_t^Q ,然后再 up-project 还原出 Attention 计算所需的 Q 向量。注意 Q 是不需要 KV Cache 缓存的。
-
观察图中 带有 R 的部分,MLA 还为 K、Q 向量增加了 RoPE 位置编码,k_t^R 、q_t,i^R 。最终输入 Attention 的向量由 up-project 出的向量和 RoPE 编码后的向量拼接而成。注意 RoPE 编码的向量长度只有前者的一半。而且 k_t^R 没有多头,减少 KV Cache 使用。其技巧类似 MQA ,所有头共享 K 。
-
最终 K、Q、V 输入标准的 Multi-Head Attention 进行计算。
可以看到,节省 KV Cache 的关键在于 down-projection 压缩。而 RoPE 位置编码被划分到独立路径特殊处理。
上文的 down-projection 压缩的技巧出现在大模型领域的多个方面,也被称作 Low-rank Compression ,与存储领域的“压缩”很不一样。例如:
-
应用1:LoRA 是大模型常用的微调技术,微调后的模型可以表示为 h = W0 * x + ∆W * x = W0 * x + BA * x 。模型本身的矩阵 W0 和参数更新 ∆W 维数巨大,更新成本高昂。但 ∆W 可以表达为两个较小的矩阵相乘 B * A 。B 的列数和 A 的行数可取任意较小的维数,使得 B 和 A 的参数量之和远小于 ∆W 。这是微调比训练成本更低的原因。
-
应用2:MLP Expansion/Compression 指多层神经网络的中间层升高维度或降低维度。例如,输入向量的维数是 768 ,但中间层的维数是 3072 ,最后输出又回到 768 维。将神经网络表达成矩阵形式,相当于输入向量首先乘以一个 up-projection 矩阵升维,进行计算,然后在输出时乘以一个 down-projection 矩阵降低还原到原维数。神经网络内部的高维数为存储知识、表达非线性提供了容量。这个技巧被用于 Transformer Block 的 FFN 层。
引用
- [17] Deepseek技术解读(1)-彻底理解 MLA: https://zhuanlan.zhihu.com/p/16730036197
- [18] LoRA 论文: https://arxiv.org/abs/2106.09685
关于 MLA 更深入的问题
上面讲解了 MLA 的工作原理,随后,可以引出一些关于 MLA 的更深入的问题:
为什么 RoPE 与 K、Q down-projection 需要 分开计算?
-
可以这样理解,回到 Attention 章节的公式,QK^T = InputMatrix * WeightMatrix_Q * WeightMatrix_K^T * InputMatrix^T 。其中 WeightMatrix_Q * WeightMatrix_K^T 可以事先 融合 成一个矩阵 M 以简化计算。并且 M 无论对第几个 Token,都是不变的。但如果中间插入了 RoPE,其对位置敏感,就导致 M 没有固定的值了,无法简化计算。
-
用 论文中的解释 为:RoPE 与低秩 KV 不兼容,RoPE 对 Q 和 K 都是位置敏感的,如果为 k_t^C 应用 RoPE ,那么 W^UK 将与位置敏感的 RoPE 矩阵耦合,导致 W^UK 无法被吸收到 W^UQ 中。
Q 不需要 KV Cache,但为什么 Q 也需要 down-project 到 c_t^Q ?
-
可以这样理解,DeepSeek-V3 的 h_t 向量维度是 7168,参与 Attention 计算的 Q 向量维度是 1536 。Naive 的方案是用矩阵 W 乘以 h_t 以降维,W 需要 7168 * 1536 维度,非常大。而 DeepSeek 的方案中,W 被替换为 W^DQ * W^UQ ,先降维再升维,中间 c 向量的维度是 512 。那么 W^DQ 矩阵的维度是 7168 * 512 ,W^UQ 矩阵的维度是 512 * 1536 。两者维度之和远小于 W 的 7168 * 1536 ,参数量大幅减小。这是经典的 Low-rank Compression 技巧。
-
论文中的解释 很精简:使用 Low-rank Compression 减少训练中所需的 activation memory 。
普通 Transformer 只需要在开头做一次位置编码,但为什么 MLA 需要在 每个 Attention 层 都做 RoPE ?
-
老式的 Transformer 使用的是 Absolute Positional Encoding(Sinusoidal Encoding),这里称其为 APE 。APE 在 Transformer 开头编码一次,随着残差连接流过整个模型。而更新的模型如 Llama 则使用 RoPE 编码,RoPE 需要在每个 Attention 计算前都应用一遍,是 RoPE 论文如此设计。MLA 也是如此。
-
另一方面,如前文提到,RoPE 与 down-projection 变换 不兼容。因而也需要在计算 Attention 前反复重新应用 RoPE ,且 RoPE 的计算与 K、V 的 down-projection 路径是解耦的。
输入 InputMatrix 应该 先应用 RoPE 位置编码,还是应该先应用 WeightMatrix_Q 得到 Q ?(同理 WeightMatrix_K)
- 与 APE 应用于 Transformer 开头、WeightMatrix_Q 之前不同,RoPE 要求应用在 WeightMatrix_Q 之后,RoPE 论文如此设计。前者是对 Token 向量加上一个 Position 向量,而 RoPE 是乘上旋转矩阵。如果 RoPE 不应用在 WeightMatrix_Q 之后,旋转所带来的 Q、K 间的 几何角度 就会被 WeightMatrix_Q 破坏。
为什么 Q、K 需要应用 RoPE 位置编码,而 V 不需要 ?
-
使用 RoPE 是为了让 Q、K 按照句子中的位置 形成角度差,以计算 Attention 分数。而 V 用于保存 Token 原始信息,它是被用来乘以 Attention 分数的,没有必要再用 RoPE 进行旋转。
-
APE 与 RoPE 不同,APE 在 Transformer 开头应用位置编码,导致所有 K、Q、V 都含有位置编码。而 RoPE 则 只应用到 Q、K 上,见 RoPE 论文。
RoPE 中,旋转角度具有周期性,会导致距离较远的 Token 向量反而得到相近的角度吗,即“撞周期”?
-
这需要看 RoPE 的公式,见引用部分。RoPE 并不是简单地把 Token 向量旋转了一个角度,而是 Token 向量首先被分成一系列 2D 分量,每个 2D 分量都按不同的速度旋转。对于 Token 位置,低维分量旋转快,高维分量旋转慢,犹如时钟的秒、分、小时指针。单个分量的旋转有周期性,但完整的 Token 就很难撞周期了。
-
低维分量旋转快,高维分量旋转慢。这使得 Token 向量的低维分量关注句子的局部信息,而高维分量关注句子的全局语义。Embedding 本身并不要求高低维分量有不同,但 Transformer 的 Embedding 是和 Transformer 一起训练出来的。这使得 Token 向量可以分化对句子远近的学习。
(RoPE 的公式,图片出自 RoPE 论文。)

引用
- [4] 位置编码详解: https://medium.com/thedeephub/positional-encoding-explained-a-deep-dive-into-transformer-pe-65cfe8cfe10b
- [19] RoPE 论文:https://arxiv.org/abs/2104.09864
Mixture of Experts (MoE)
DeepSeek 论文中还详细讲解了生产级的 Mixture-of-Experts (MoE) 如何实现。MoE 已经是新一代大模型的标配,能够支持更加巨大的参数和稀疏激活。在 MoE 中,Transformer Block 的 FFE 层被替换为 MoE 层:
-
不同于单个稠密的 FFE 层,MoE 将 FFE 拆分 成许多更小的 FFE 模块,称作 “专家”。专家可以同时激活,计算时专家并行(Expert Parallelism)。
-
对于一个输入 Token,只有部分专家被激活。这是“稀疏”性的所在,相比巨大的总体参数量,训练和推理的成本大幅减少。
-
一些专家总是被激活,它们被称为 共享专家。
-
MoE 引入了 路由(Router),它是 MoE 的关键。路由需要保证负载均衡,为 Token 选择亲和的专家,甚至考虑设备和网络开销。
DeepSeek-V3 的每层 MoE 拥有 256 个专家,输入 Token 将激活 8 个专家以及共享专家,各专家的处理结果被合并输出。
(DeepSeek MoE 架构 ,出自 DeepSeek-V3 论文。)

MoE 是如何进行路由的呢?见下图公式:
-
u_t 表示输入 Token ,h_t’ 表示 MoE 的输出。
-
每个专家拥有一个 质心向量(Centroid),记作 e_i 。质心向量与输入 Token 的相似度代表输入与专家的亲和成都。亲和度最高的 Top-K 个专家被激活,称作门控 g_i,t 。
-
质心向量是和专家被一起训练出来的。实际的门控还需要应对负载偏斜,添修正值和对 负载不均衡 的惩罚。见 DeepSeek-V3 论文的公式 (16) ~ (20)。
-
由上可以看到,路由能够被表达成矩阵运算加上激活函数(Sigmoid)。也就是说,路由模块也是一个(非常小的)神经网络,专家质心是其可以训练的参数,出口可以用 Softmax 来抽样激活专家。
-
在 h_t’ 的公式中,专家的输出被直接相加获得结果。FFN_i^(s) 是共享专家,它们没有门控。此外,输入 u_t 也被相加,这是 残差连接。
MoE 在如何使专家负载均衡上常常是难点。Expert Collapse(少数专家获得大部分令牌)、Expert Starvation(某些专家训练不足),是路由训练的常见问题。另外也可以发现,MoE 有利于减少激活数量、减少计算、专家并行,但并不能直接减少内存消耗,因为专家都需要被加载。
(DeepSeek MoE 的公式 ,出自 DeepSeek-V3 论文。)

为什么对 FFN 层使用 MoE ,而不是去切分 Attention 层呢?一方面,FFN 层一个一个处理 Token ,更易切分,而 Attention 在处理 Token 对。另一方面,FFN 层占据了 Transformer 的大部分参数,远比 Attention 多。
(DeepSeek MoE 的参数数量 ,链接:https://mp.weixin.qq.com/s/WXrgxV3LgYYvRLPTVzLkjw )

引用
- [20] Deepseek技术解读(3)-MoE的演进之路: https://zhuanlan.zhihu.com/p/18565423596
- [21] DeepSeek-V3/R1推理效率分析: https://mp.weixin.qq.com/s/WXrgxV3LgYYvRLPTVzLkjw
总结
全文完。到这里,我们介绍了 Transformer 的基础知识,从模型架构、神经网络层、Attention、到 KV Cache ,也介绍了更深入的 MLA 和 MoE 。DeepSeek 论文详细介绍了大模型从模型到基础设施的方方面面,非常值得阅读。而 Polo Club 的可视化 Transformer 可以动态交互,非常方便学习。
Create an Issue or comment below